Упр.387 ГДЗ Колягин Ткачёва 8 класс (Алгебра)
Решение #1

Рассмотрим вариант решения задания из учебника Колягин, Ткачёва, Фёдорова 8 класс, Просвещение:
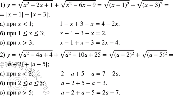
387. Упростить выражение:
1) y=v(x^2-2x+1)+v(x^2-6x+9) при а) x<1; б) 1?x?3;
в) x>3;
2) y=v(a^2-4a+4)+v(a^2-10a+25) при: а) a<2;
б) 2?a?5; в) a>5.
*размещая тексты в комментариях ниже, вы автоматически соглашаетесь с пользовательским соглашением