Упр.391 ГДЗ Колягин Ткачёва 8 класс (Алгебра)
Решение #1

Рассмотрим вариант решения задания из учебника Колягин, Ткачёва, Фёдорова 8 класс, Просвещение:
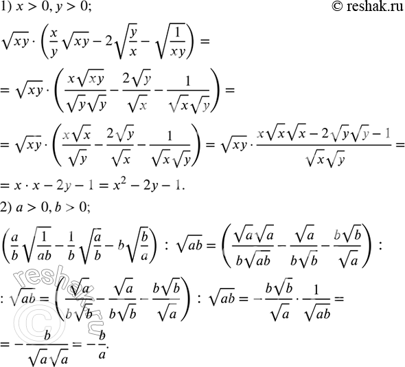
391. Упростить:
1) vxy•(x/y vxy-2v(y/x)-v(1/xy)),где x>0,y>0;
2) (a/b v(1/ab)-1/b v(a/b)-bv(b/a)) :vab,где a>0,b>0.
*размещая тексты в комментариях ниже, вы автоматически соглашаетесь с пользовательским соглашением