Упр.392 ГДЗ Колягин Ткачёва 8 класс (Алгебра)
Решение #1

Рассмотрим вариант решения задания из учебника Колягин, Ткачёва, Фёдорова 8 класс, Просвещение:
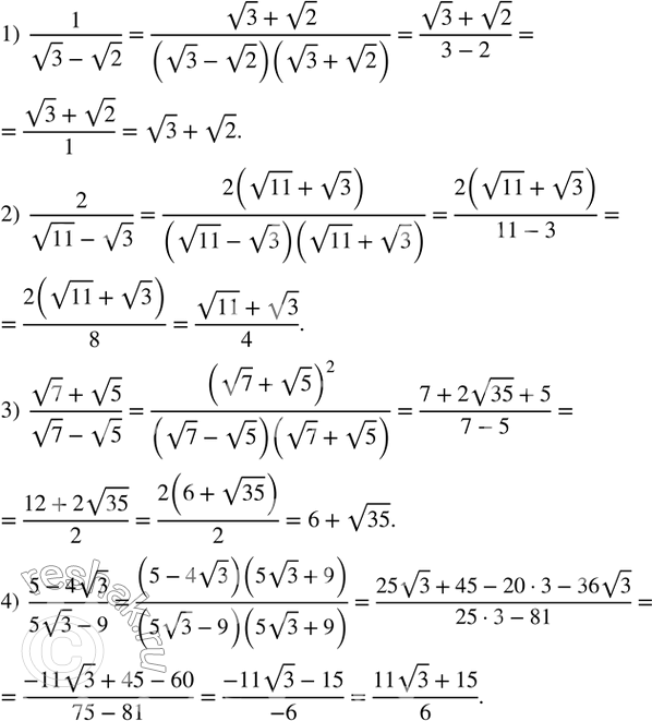
392. Исключить иррациональность из знаменателя:
1) 1/(v3-v2);
2) 2/(v11-v3);
3) (v7+v5)/(v7-v5);
4) (5-4v3)/(5v3-9).
*размещая тексты в комментариях ниже, вы автоматически соглашаетесь с пользовательским соглашением