Упр.7.9 ГДЗ Мордкович Семенов 9 класс (Алгебра)
Решение #1

Рассмотрим вариант решения задания из учебника Мордкович, Семенов, Александрова 9 класс, Бином:
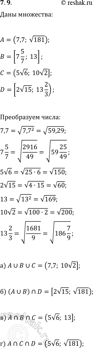
7.9. Даны множества A=(7,7; v181), B=[7 5/7; 13], C=(5v6; 10v2] и D=[2v15; 13 2/3). Найдите и изобразите на числовой прямой множество:
а) A?B?C; в) A?B?C;
б) (A?B)?D; г) A?C?D.
*размещая тексты в комментариях ниже, вы автоматически соглашаетесь с пользовательским соглашением