Упр.109 Рабочая тетрадь №1 ГДЗ Мерзляк Полонский 6 класс (Математика)
Решение #1

Рассмотрим вариант решения задания из учебника Мерзляк, Полонский, Якир 6 класс, Вентана-Граф:
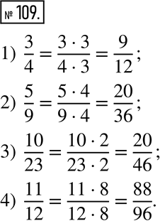
109. Приведите:
1) дробь 3/4 к знаменателю 12;
2) дробь 5/9 к знаменателю 36;
3) дробь 10/23 к знаменателю 46;
4) дробь 11/12 к знаменателю 96.
*размещая тексты в комментариях ниже, вы автоматически соглашаетесь с пользовательским соглашением