Упр.135 ГДЗ Дорофеев Суворова 8 класс (Алгебра)
Решение #1

Рассмотрим вариант решения задания из учебника Дорофеев, Суворова, Бунимович 8 класс, Просвещение:
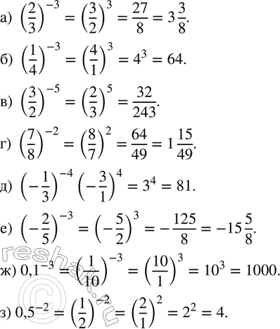
135. Вычислите, пользуясь доказанным в предыдущем упражнении свойством:
а) (2/3)^(-3);
б) (1/4)^(-3);
в) (3/2)^(-5);
г) (7/8)^(-2);
д) (-1/3)^(-4);
е) (-2/5)^(-3);
ж) ?0,1?^(-3);
з) ?0,5?^(-2).
*размещая тексты в комментариях ниже, вы автоматически соглашаетесь с пользовательским соглашением