Упр.200 ГДЗ Дорофеев Суворова 8 класс (Алгебра)
Решение #1

Рассмотрим вариант решения задания из учебника Дорофеев, Суворова, Бунимович 8 класс, Просвещение:
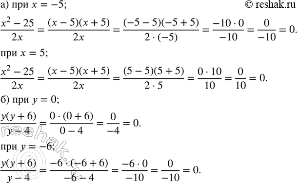
200. Найдите значение дроби при заданных значениях переменной:
а) (x^2-25)/2x при x=-5,при x=5;
б) y(y+6)/(y-4) при y=0,при y=-6.
*размещая тексты в комментариях ниже, вы автоматически соглашаетесь с пользовательским соглашением