Упр.202 ГДЗ Дорофеев Суворова 8 класс (Алгебра)
Решение #1

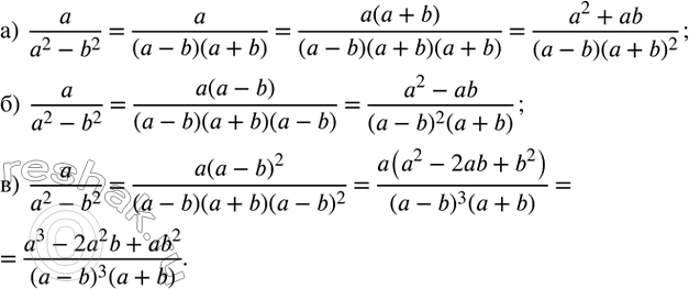
Рассмотрим вариант решения задания из учебника Дорофеев, Суворова, Бунимович 8 класс, Просвещение:
202. Приведите дробь a/(a^2-b^2) к знаменателю:
а) (a-b) (a+b)^2;
б) (a-b)^2 (a+b);
в) (a-b)^3 (a+b).
*размещая тексты в комментариях ниже, вы автоматически соглашаетесь с пользовательским соглашением