Упр.265 ГДЗ Никольский Потапов 8 класс (Алгебра)
Решение #1

Рассмотрим вариант решения задания из учебника Никольский, Потапов 8 класс, Просвещение:
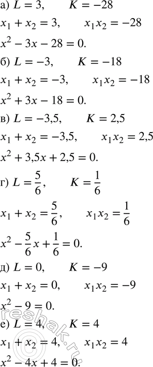
265. Составьте приведённое квадратное уравнение, если известны сумма L и произведение K его корней:
a) L = 3, K = -28;
б) L = -3, К = -18;
в) L = -3,5, К = 2,5;
г) L = 5/6, K = 1/6;
д) L = 0, K =-9;
е) L = 4, К = 4.
*размещая тексты в комментариях ниже, вы автоматически соглашаетесь с пользовательским соглашением