Упр.305 ГДЗ Дорофеев Суворова 8 класс (Алгебра)
Решение #1

Рассмотрим вариант решения задания из учебника Дорофеев, Суворова, Бунимович 8 класс, Просвещение:
305. Известно, что a^2+b^2=41 и ab=20. Найдем a+b. Чтобы решить задачу, умножим обе части второго равенства на 2, получим 2ab=40. Сложив это равенство с первым, получим
a^2+b^2+2ab=40+41
(a+b)^2=81
a+b=9 или a+b=-9.
Пользуясь рассмотренным приемом, найдите:
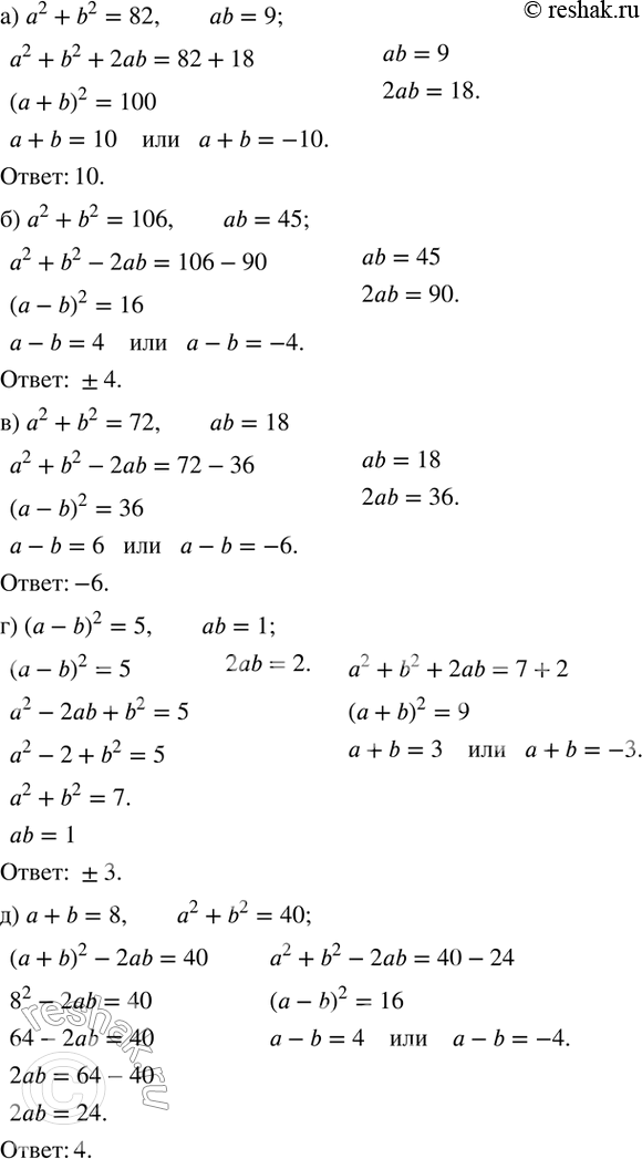
а) положительное значение суммы a+b, если a^2+b^2=82 и ab=9;
б) значение разности a-b, если a^2+b^2=106 и ab=45;
в) отрицательное значение разности a-b, если a^2+b^2=72 и ab=18;
г) значения суммы a+b, если (a-b)^2=5 и ab=1;
д) положительное значение разности a-b, если a+b=8 и a^2+b^2=40.
*размещая тексты в комментариях ниже, вы автоматически соглашаетесь с пользовательским соглашением