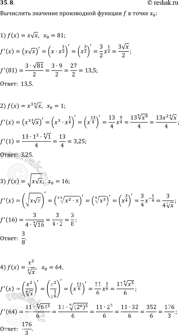
Упр.35.8 ГДЗ Мерзляк 10 класс Базовый уровень (Алгебра)
Решение #1

Рассмотрим вариант решения задания из учебника Мерзляк, Номировский, Полонский 10 класс, Вентана-Граф:
35.8. Вычислите значение производной функции f в точке x_0:
1) f(x)=xvx, x_0=81; 3) f(x)=v(xvx), x_0=16;
2) f(x)=x^3 x^(1/4), x_0=1; 4) f(x)=x^2/x^(1/6), x_0=64.
*размещая тексты в комментариях ниже, вы автоматически соглашаетесь с пользовательским соглашением