Упр.373 ГДЗ Дорофеев Суворова 8 класс (Алгебра)
Решение #1

Рассмотрим вариант решения задания из учебника Дорофеев, Суворова, Бунимович 8 класс, Просвещение:
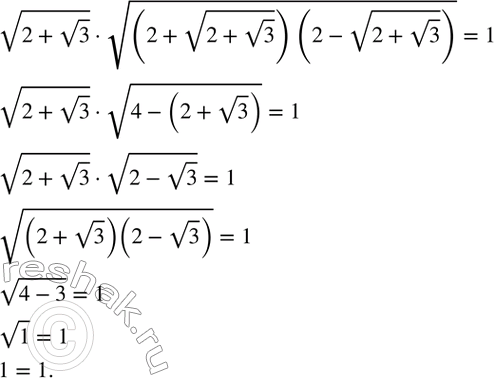
373. Докажите, что:
а) v3•v(3+v6) •v(3-v6) =3;
б) v2•v(2+v2) •v(2+v(2+v2) ) •v(2-v(2+v2) ) =2;
в) v(2+v3) •v(2+v(2+v3) ) •v(2+v(2+v(2+v3) ) ) • v(2-v(2+v(2+v3) ) ) =1.
*размещая тексты в комментариях ниже, вы автоматически соглашаетесь с пользовательским соглашением