Упр.50 ГДЗ Дорофеев Суворова 8 класс (Алгебра)
Решение #1

Рассмотрим вариант решения задания из учебника Дорофеев, Суворова, Бунимович 8 класс, Просвещение:
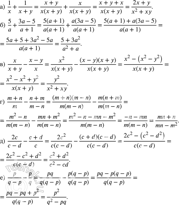
50.Приведите дроби к общему знаменателю и выполните сложение или вычитание; в качестве образца используйте пример 2 из текста.
а) 1/x+1/(x+y);
б) 5/a+(3a-5)/(a+1);
в) x/(x+y)-(x-y)/x;
г) (m+n)/m-(n+m)/(m-n);
д) 2c/(c-d)-(c+d)/c;
е) p/(q-p)-p/q.
*размещая тексты в комментариях ниже, вы автоматически соглашаетесь с пользовательским соглашением