Упр.57 ГДЗ Дорофеев Суворова 8 класс (Алгебра)
Решение #1

Рассмотрим вариант решения задания из учебника Дорофеев, Суворова, Бунимович 8 класс, Просвещение:
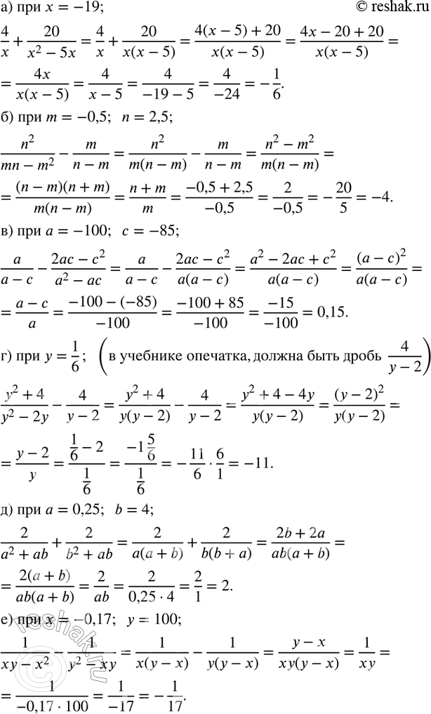
57. Найдите значение выражения при заданных значениях переменных:
а) 4/x+20/(x^2-5x); x=-19;
б) n^2/(mn-m^2 )-m/(n-m); m=-0,5; n=2,5;
в) a/(a-c)-(2ac-c^2)/(a^2-ac); a=-100; c=-85;
г) (y^2+4)/(y^2-2y)-2/(y-2); y=1/6;
д) 2/(a^2+ab)+2/(b^2+ab); a=0,25; b=4;
е) 1/(xy-x^2 )-1/(y^2-xy); x=-0,17; y=100.
*размещая тексты в комментариях ниже, вы автоматически соглашаетесь с пользовательским соглашением