Упр.700 ГДЗ Никольский Потапов 7 класс (Алгебра)
Решение #1

Рассмотрим вариант решения задания из учебника Никольский, Потапов 7 класс, Просвещение:
Решите систему уравнений (700—702):
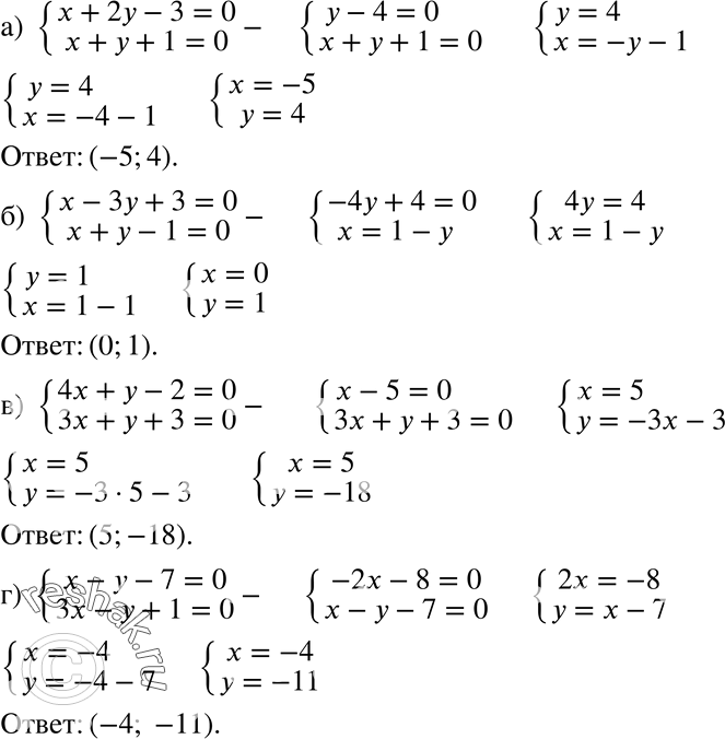
700 а) система
x+2u-3=0,
x+y+1=0;
б) система
x-3y+3=0,
x+y-1=0;
в) система
4x+y-2=0,
3x+y+3=0;
г) система
x-y-7=0,
3x-y+1=0.
*размещая тексты в комментариях ниже, вы автоматически соглашаетесь с пользовательским соглашением