Упр.809 ГДЗ Никольский Потапов 7 класс (Алгебра)
Решение #1

Рассмотрим вариант решения задания из учебника Никольский, Потапов 7 класс, Просвещение:
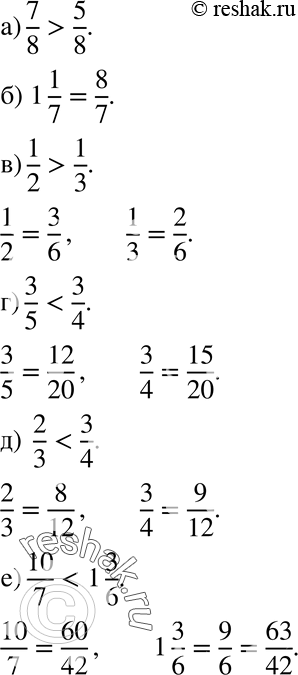
809 Сравните числа:
а) 7/8 и 5/8;
б) 1*1/7 и 8/7;
в) 1/2 и 1/3;
г) 3/5 и 3/4;
д) 2/3 и 3/4;
е) 10/7 и 1*3/6.
*размещая тексты в комментариях ниже, вы автоматически соглашаетесь с пользовательским соглашением