Упр.306 ГДЗ Алимов 10-11 класс (Алгебра)
Решение #1
Решение #2

Рассмотрим вариант решения задания из учебника Алимов, Колягин, Ткачёва 10 класс, Просвещение:
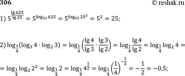
306 Вычислить:
1) 5^(lg625/lg25);
2) log1/4(log3(4) * log2(3)).
*размещая тексты в комментариях ниже, вы автоматически соглашаетесь с пользовательским соглашением