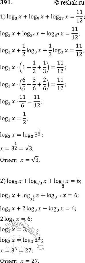
Упр.391 ГДЗ Алимов 10-11 класс (Алгебра)
Решение #1
Решение #2

Рассмотрим вариант решения задания из учебника Алимов, Колягин, Ткачёва 10 класс, Просвещение:
391 1) log3(x) + log9(x) + log27(x)=11/12;
2) log3(x) + log корень 3(x) + log1/3(х) = 6;
3) log3(x) * log2(x) = 4log3(2);
4) log5(x) * log3(x) = 9 log5(3).
*размещая тексты в комментариях ниже, вы автоматически соглашаетесь с пользовательским соглашением