Упр.1.20 ГДЗ Мордкович 7 класс (Алгебра)
Решение #1

Рассмотрим вариант решения задания из учебника Мордкович, Александрова 7 класс, Мнемозина:
Найдите значение выражения:
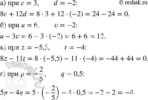
1.20. а) 8с + 12d при с = 3, d = -2;
б) u - 3v при u = 6, v = -2;
в) 8z - 11t при z = -5,5, t = -4;
г) 5р - 4q при р = -2/5, q = 0,5.
*размещая тексты в комментариях ниже, вы автоматически соглашаетесь с пользовательским соглашением