Упр.19.12 ГДЗ Мордкович 7 класс (Алгебра)
Решение #1

Рассмотрим вариант решения задания из учебника Мордкович, Александрова 7 класс, Мнемозина:
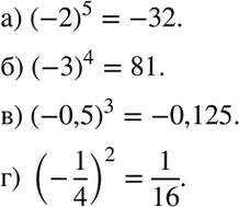
Вычислите:
а) (—2)5;
б) (-3)4;
в) (-0,5)3;
г) (-1/4)2.
*размещая тексты в комментариях ниже, вы автоматически соглашаетесь с пользовательским соглашением