Упр.9.12 ГДЗ Мордкович 7 класс (Алгебра)

Решение #1

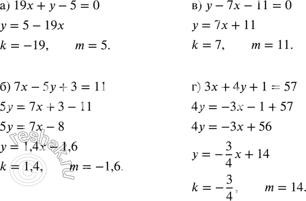
Изображение а) 19х + у -5 = 0;	б) 7х - 5у + 3 = 11;	в) у - 7x - 11 = 0;г) 3x + 4у + 1 =...
Загрузка...

Рассмотрим вариант решения задания из учебника Мордкович, Александрова 7 класс, Мнемозина:
а) 19х + у -5 = 0;
б) 7х - 5у + 3 = 11;
в) у - 7x - 11 = 0;
г) 3x + 4у + 1 = 57.
*Цитирирование задания со ссылкой на учебник производится исключительно в учебных целях для лучшего понимания разбора решения задания.
*размещая тексты в комментариях ниже, вы автоматически соглашаетесь с пользовательским соглашением