Упр.242 ГДЗ Алимов 10-11 класс (Алгебра)
Решение #1
Решение #2

Рассмотрим вариант решения задания из учебника Алимов, Колягин, Ткачёва 10 класс, Просвещение:
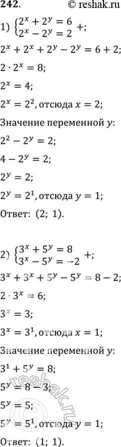
242. 1) система
2x+2y=6,
2x-2y=2;
2) система
3x+5y=8,
3x-5y=-2.
*размещая тексты в комментариях ниже, вы автоматически соглашаетесь с пользовательским соглашением