Упр.1.2 ГДЗ Мордковича 11 класс профильный уровень (Алгебра)
Решение #1
Решение #2(записки учителя)
Решение #3(записки школьника)

Рассмотрим вариант решения задания из учебника Мордкович, Семенов 11 класс, Мнемозина:
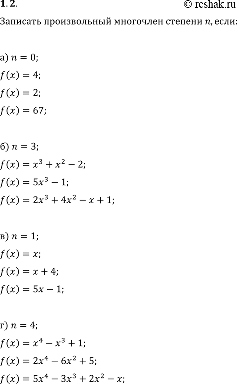
1.2. Запишите в стандартном виде произвольный многочлен степени n если:
а) n = 0; в) n = 1;
б) n = 3; г) n = 4.
*размещая тексты в комментариях ниже, вы автоматически соглашаетесь с пользовательским соглашением