Упр.19.9 ГДЗ Мордковича 11 класс профильный уровень (Алгебра)
Решение #1
Решение #2(записки учителя)
Решение #3(записки школьника)

Рассмотрим вариант решения задания из учебника Мордкович, Семенов 11 класс, Мнемозина:
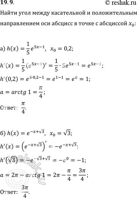
19.9. Найдите угол, образованный касательной к графику функции у = h(x) в точке с абсциссой х0 с положительным направлением оси абсцисс:
а) h(x) = 1/5е(5x-1), х0 = 0,2;
б) h(х) = е(-x + корень 3), х0 = -корень 3;
в) h(x) = 1/3е(1-3x), х0 = 1/3;
г) h(x) = е(корень 3/3*x - 1) , х0 = корень 3.
*размещая тексты в комментариях ниже, вы автоматически соглашаетесь с пользовательским соглашением