Упр.3.8 ГДЗ Мордковича 11 класс профильный уровень (Алгебра)

Решение #1

Изображение 3.16 Найдите значение вырадения x2+1/x2, если:а) x+1/x=3;б) x-1/x=5;в) x+1/x=t;г)...

Решение #2(записки учителя)

Изображение 3.16 Найдите значение вырадения x2+1/x2, если:а) x+1/x=3;б) x-1/x=5;в) x+1/x=t;г)...

Решение #3(записки школьника)

Изображение 3.16 Найдите значение вырадения x2+1/x2, если:а) x+1/x=3;б) x-1/x=5;в) x+1/x=t;г)...
Загрузка...

Рассмотрим вариант решения задания из учебника Мордкович, Семенов 11 класс, Мнемозина:
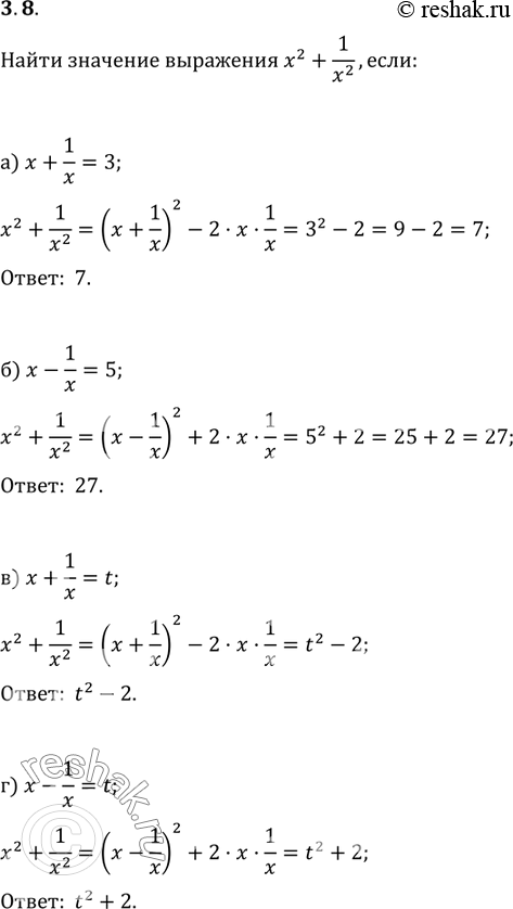
3.16 Найдите значение вырадения x2+1/x2, если:
а) x+1/x=3;
б) x-1/x=5;
в) x+1/x=t;
г) x-1/x=t.
*Цитирирование задания со ссылкой на учебник производится исключительно в учебных целях для лучшего понимания разбора решения задания.
*размещая тексты в комментариях ниже, вы автоматически соглашаетесь с пользовательским соглашением